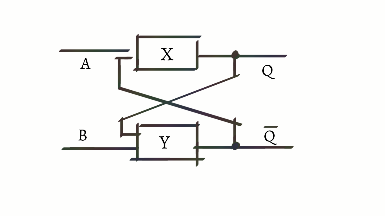
Flip flop character sheet generator
X:
AND
OR
XOR
NAND
NOR
XNOR
Y:
AND
OR
XOR
NAND
NOR
XNOR
A
B
Q(t)
¬Q(t)
Q(t+1)
¬Q(t+1)
0
0
0
1
0
0
1
0
0
1
0
1
0
1
1
0
1
0
0
1
1
0
1
0
1
1
0
1
1
1
1
0
A
B
Q(t+1)
0
0
0
1
1
0
1
1